
Syllabus for JEE Main Paper 1 (B.E./B.Tech.)- Mathematics, Physics, and Chemistry
MATHEMATICS UNIT
UNIT 1: SETS, RELATIONS, AND FUNCTIONS:
Sets and their representation: Union, intersection, and complement of sets and their algebraic properties; Power set; Relation, Type of relations, equivalence relations, functions; one-one, into and onto functions, the composition of functions.
UNIT 2: COMPLEX NUMBERS AND QUADRATIC EQUATIONS:
Complex numbers as ordered pairs of reals, Representation of complex numbers in the form a + ib and their representation in a plane, Argand diagram, algebra of complex number, modulus, and argument (or amplitude) of a complex number, Quadratic equations in real and complex number system and their solutions Relations between roots and co-efficient, nature of roots, the formation of quadratic equations with given roots.
UNIT3: MATRICES AND DETERMINANTS:
Matrices, algebra of matrices, type of matrices, determinants, and matrices of order two and three, evaluation of determinants, area of triangles using determinants, Adjoint, and evaluation of inverse of a square matrix using determinants and, Test of consistency and solution of simultaneous linear equations in two or three variables using matrices.
UNIT 4: PERMUTATIONS AND COMBINATIONS:
The fundamental principle of counting, permutation as an arrangement and combination as section, Meaning of P (n,r) and C (n,r), simple applications.
UNIT 5: BINOMIAL THEOREM AND ITS SIMPLE APPLICATIONS:
Binomial theorem for a positive integral index, general term and middle term, and simple applications.
UNIT 6: SEQUENCE AND SERIES:
Arithmetic and Geometric progressions, insertion of arithmetic, geometric means between two given numbers, Relation between A.M and G.M.
UNIT 7: LIMIT, CONTINUITY, AND DIFFERENTIABILITY:
Real–valued functions, algebra of functions, polynomials, rational, trigonometric, logarithmic, and exponential functions, inverse function. Graphs of simple functions. Limits, continuity, and differentiability. Differentiation of the sum, difference, product, and quotient of two functions. Differentiation of trigonometric, inverse trigonometric, logarithmic, exponential, composite, and implicit functions; derivatives of order up to two, Applications of derivatives: Rate of change of quantities, monotonic-Increasing and decreasing functions, Maxima and minima of functions of one variable,
UNIT 8: INTEGRAL CALCULAS:
Integral as an anti-derivative, Fundamental integral involving algebraic, trigonometric, exponential, and logarithmic functions. Integrations by substitution, by parts, and by partial functions. Integration using trigonometric identities.
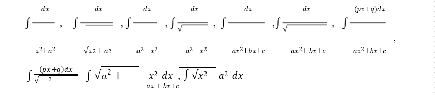
Evaluation of simple integrals of the type

The fundamental theorem of calculus, properties of definite integrals. Evaluation of definite integrals,
determining areas of the regions bounded by simple curves in standard form.UNIT 9: DIFFRENTIAL EQUATIONS
Ordinary differential equations, their order, and degree, the solution of differential equation by the method of separation of variables, solution of a homogeneous and linear differential equation of the type

UNIT 10: CO-ORDINATE GEOMETRY
Cartesian system of rectangular coordinates in a plane, distance formula, sections formula, locus, and its equation, the slope of a line, parallel and perpendicular lines, intercepts of a line on the co-ordinate axis.
Straight line
Various forms of equations of a line, intersection of lines, angles between two lines, conditions for concurrence of three lines, the distance of a point form a line, co-ordinate of the centroid, orthocentre, and circumcentre of a triangle,
Circle, conic sections
A standard form of equations of a circle, the general form of the equation of a circle, its radius and central, equation of a circle when the endpoints of a diameter are given, points of intersection of a line and a circle with the centre at the origin and sections of conics, equations of conic sections (parabola, ellipse, and hyperbola) in standard forms,
UNIT 11: THREE DIMENSIONAL GEOMETRY
Coordinates of a point in space, the distance between two points, section formula, directions ratios, and direction cosines, and the angle between two intersecting lines. Skew lines, the shortest distance between them, and its equation. Equations of a line
UNIT 12: VECTOR ALGEBRA
Vectors and scalars, the addition of vectors, components of a vector in two dimensions and three-dimensional space, scalar and vector products,
UNIT 10: CO-ORDINATE GEOMETRY
Cartesian system of rectangular coordinates in a plane, distance formula, sections formula, locus, and its equation, the slope of a line, parallel and perpendicular lines, intercepts of a line on the co-ordinate axis.
Straight line
Various forms of equations of a line, intersection of lines, angles between two lines, conditions for concurrence of three lines, the distance of a point form a line, co-ordinate of the centroid, orthocentre, and circumcentre of a triangle,
Circle, conic sections
A standard form of equations of a circle, the general form of the equation of a circle, its radius and central, equation of a circle when the endpoints of a diameter are given, points of intersection of a line and a circle with the centre at the origin and sections of conics, equations of conic sections (parabola, ellipse, and hyperbola) in standard forms,
UNIT 11: THREE DIMENSIONAL GEOMETRY
Coordinates of a point in space, the distance between two points, section formula, directions ratios, and direction cosines, and the angle between two intersecting lines. Skew lines, the shortest distance between them, and its equation. Equations of a line
UNIT 12: VECTOR ALGEBRA
Vectors and scalars, the addition of vectors, components of a vector in two dimensions and three-dimensional space, scalar and vector products,
UNIT 13: STATISTICS AND PROBABILITY
Measures of discretion; calculation of mean, median, mode of grouped and ungrouped data calculation of standard deviation, variance, and mean deviation for grouped and ungrouped data.
Probability: Probability of an event, addition and multiplication theorems of probability, Baye’s theorem, probability distribution of a random variate,
UNIT 14: TRIGONOMETRY
Trigonometrical identities and trigonometrical functions, inverse trigonometrical functions, and their properties,
PHYSICS UNIT
UNIT 1: PHYSICS AND MEASUREMENT
Units of measurements, System of Units, S I Units, fundamental and derived units, least count, significant figures, Errors in measurements, Dimensions of Physics quantities, dimensional analysis, and its applications.
UNIT 2: KINEMATICS
The frame of reference, motion in a straight line, Position- time graph, speed and velocity; Uniform and non-uniform motion, average speed and instantaneous velocity, uniformly accelerated motion, velocity-time, position-time graph, relations for uniformly accelerated motion, Scalars and Vectors, Vector. Addition and subtraction, scalar and vector products, Unit Vector, Resolution of a Vector. Relative Velocity, Motion in a plane, Projectile Motion, Uniform Circular Motion.
UNIT 3: LAWS OF MOTION
Force and inertia, Newton’s First law of motion; Momentum, Newton’s Second Law of motion, Impulses; Newton’s Third Law of motion. Law of conservation of linear momentum and its applications. Equilibrium of concurrent forces.
Static and Kinetic friction, laws of friction, rolling friction.
Dynamics of uniform circular motion: centripetal force and its applications: vehicle on a level circular road, vehicle on a banked road.
UNIT 4: WORK, ENERGY, AND POWER
Work done by a constant force and a variable force; kinetic and potential energies, work-energy theorem, power.
The potential energy of spring conservation of mechanical energy, conservative and nonconservative forces; motion in a vertical circle: Elastic and inelastic collisions in one and two dimensions.
UNIT5: ROTATIONAL MOTION
Centre of the mass of a two-particle system, Centre of the mass of a rigid body; Basic concepts of rotational motion; moment of a force; torque, angular momentum, conservation of angular momentum and its applications;
The moment of inertia, the radius of gyration, values of moments of inertia for simple geometrical objects, parallel and perpendicular axes theorems, and their applications. Equilibrium of rigid bodies, rigid body rotation and equations of rotational motion, comparison of linear and rotational motions.
UNIT 6: GRAVITATION
The universal law of gravitation. Acceleration due to gravity and its variation with altitude and depth. Kepler’s law of planetary motion. Gravitational potential energy; gravitational potential. Escape velocity, Motion of a satellite, orbital velocity, time period, and energy of satellite.
UNIT 7: PROPERTIES OF SOLIDS AND LIQUIDS
Elastic behaviour, Stress-strain relationship, Hooke’s Law. Young’s modulus, bulk modulus, and modulus of rigidity. Pressure due to a fluid column; Pascal’s law and its applications. Effect of gravity on fluid pressure.
Viscosity. Stokes’ law. terminal velocity, streamline, and turbulent flow.critical velocity. Bernoulli’s principle and its applications. Surface energy and surface tension, angle of contact, excess of pressure across a curved surface, application of surface tension – drops, bubbles, and capillary rise. Heat, temperature, thermal expansion; specific heat capacity, calorimetry; change of state, latent heat. Heat transferconduction, convection, and radiation.
UNIT 8: THERMODYNAMICS
Thermal equilibrium, zeroth law of thermodynamics, the concept of temperature. Heat, work, and internal energy. The first law of thermodynamics, isothermal and adiabatic processes.
The second law of thermodynamics: reversible and irreversible processes.
UNIT 9: KINETIC THEORY OF GASES
Equation of state of a perfect gas, work done on compressing a gas, Kinetic theory of gases – assumptions, the concept of pressure. Kinetic interpretation of temperature: RMS speed of gas molecules: Degrees of freedom. Law of equipartition of energy and applications to specific heat capacities of gases; Mean free path. Avogadro’s number.
UNIT 10: OSCILLATIONS AND WAVES
Oscillations and periodic motion – time period, frequency, displacement as a function of time. Periodic functions. Simple harmonic motion (S.H.M.) and its equation; phase: oscillations of a spring -restoring force and force constant: energy in S.H.M. – Kinetic and potential energies; Simple pendulum – derivation of expression for its time period:
Wave motion. Longitudinal and transverse waves, speed of the travelling wave. Displacement relation for a progressive wave. Principle of superposition of waves, reflection of waves. Standing waves in strings and organ pipes, fundamental mode, and harmonics. Beats.
UNIT 11: ELECTROSTATICS
Electric charges: Conservation of charge. Coulomb’s law forces between two point charges, forces between multiple charges: superposition principle and continuous charge distribution.
Electric field: Electric field due to a point charge, Electric field lines. Electric dipole, Electric field due to a dipole. Torque on a dipole in a uniform electric field.
Electric flux. Gauss’s law and its applications to find field due to infinitely long uniformly charged straight wire uniformly charged infinite plane sheet, and uniformly charged thin spherical shell. Electric potential and its calculation for a point charge, electric dipole and system of charges; potential difference, Equipotential surfaces, Electrical potential energy of a system of two point charges and of electric dipole in an electrostatic field.
Conductors and insulators. Dielectrics and electric polarization, capacitors and capacitances, the combination of capacitors in series and parallel, and capacitance of a parallel plate capacitor with and without dielectric medium between the plates. Energy stored in a capacitor.
UNIT 12: CURRENT ELECTRICITY
Electric current. Drift velocity, mobility, and their relation with electric current. Ohm’s law. Electrical resistance. V-l characteristics of Ohmic and non-ohmic conductors. Electrical energy and power. Electrical resistivity and conductivity. Series and parallel combinations of resistors; Temperature dependence of resistance.
Internal resistance, potential difference, and emf of a cell, a combination of cells in series and parallel. Kirchhoff’s laws and their applications. Wheatstone bridge. Metre Bridge.
UNIT 13: MAGNETIC EFFECTS OF CURRENT AND MAGNETISM
Biot – Savart law and its application to the current carrying circular loop. Ampere’s law and its applications to infinitely long current carrying straight wire and solenoid. Force on a moving charge in uniform magnetic and electric fields.
Force on a current-carrying conductor in a uniform magnetic field. The force between two parallel currents carrying conductors-definition of ampere. Torque experienced by a current loop in a uniform magnetic field: Moving coil galvanometer, its sensitivity, and conversion to ammeter and voltmeter.
Current loop as a magnetic dipole and its magnetic dipole moment. Bar magnet as an equivalent solenoid, magnetic field lines; Magnetic field due to a magnetic dipole (bar magnet) along its axis and perpendicular to its axis. Torque on a magnetic dipole in a uniform magnetic field. Para-, dia- and ferromagnetic substances with examples, the effect of temperature on magnetic properties.
UNIT 14: ELECTROMAGNETIC INDUCTION AND ALTERNATING CURRENTS
Electromagnetic induction: Faraday’s law. Induced emf and current: Lenz’s Law, Eddy currents. Self and mutual inductance. Alternating currents, peak and RMS value of alternating current/ voltage: reactance and impedance: LCR series circuit, resonance: power in AC circuits, wattless current. AC generator and transformer.
UNIT 15: ELECTROMAGNETIC WAVES
Displacement current. Electromagnetic waves and their characteristics, Transverse nature of electromagnetic waves, Electromagnetic spectrum (radio waves, microwaves, infrared, visible, ultraviolet. X-rays. Gamma rays), Applications of e.m. waves.
UNIT 16: OPTICS
Reflection of light, spherical mirrors, mirror formula. Refraction of light at plane and spherical surfaces, thin lens formula, and lens maker formula. Total internal reflection and its applications. Magnification. Power of a Lens. Combination of thin lenses in contact. Refraction of light through a prism. Microscope and Astronomical Telescope (reflecting and refracting ) and their magnifying powers.
Wave optics: wavefront and Huygens’ principle. Laws of reflection and refraction using Huygens principle. Interference, Young’s double-slit experiment, and expression for fringe width, coherent sources, and sustained interference of light. Diffraction due to a single slit, width of central maximum. Polarization, plane-polarized light: Brewster’s law, uses of planepolarized light and Polaroid.
UNIT 17: DUAL NATURE OF MATTER AND RADIATION
Dual nature of radiation. Photoelectric effect. Hertz and Lenard’s observations; Einstein’s photoelectric equation: particle nature of light. Matter waves-wave nature of particle, de Broglie relation.
UNIT 18: ATOMS AND NUCLEI
Alpha-particle scattering experiment; Rutherford’s model of atom; Bohr model, energy levels, hydrogen spectrum. Composition and size of nucleus, atomic masses, Mass-energy relation, mass defect; binding energy per nucleon and its variation with mass number, nuclear fission, and fusion.
UNIT 19: ELECTRONIC DEVICES
Semiconductors; semiconductor diode: I-V characteristics in forward and reverse bias; diode as a rectifier; I-V characteristics of LED. the photodiode, solar cell, and Zener diode; Zener diode as a voltage regulator. Logic gates (OR. AND. NOT. NAND and NOR).
UNIT 20: EXPERIMENTAL SKILLS
Familiarity with the basic approach and observations of the experiments and activities:
- Vernier calipers -its use to measure the internal and external diameter and depth of a vessel.
- Screw gauge-its use to determine the thickness/ diameter of thin sheet/wire.
- Simple Pendulum-dissipation of energy by plotting a graph between the square of amplitude and time.
- Metre Scale – the mass of a given object by the principle of moments.
- Young’s modulus of elasticity of the material of a metallic wire.
- Surf ace tension of water by capillary rise and effect of detergents,
- Co-efficient of Viscosity of a given viscous liquid by measuring the terminal velocity of a given spherical body,
- Speed of sound in air at room temperature using a resonance tube,
- Specific heat capacity of a given (i) solid and (ii) liquid by method of mixtures.
- The resistivity of the material of a given wire using a metre bridge.
- The resistance of a given wire using Ohm’s law.
- Resistance and figure of merit of a galvanometer by half deflection method.
- The focal length of; (i) Convex mirror
(ii) Concave mirror, and
(ii) Convex lens, using the parallax method.
- The plot of the angle of deviation vs angle of incidence for a triangular prism.
- The refractive index of a glass slab using a travelling microscope.
- Characteristic curves of a p-n junction diode in forward and reverse bias.
- Characteristic curves of a Zener diode and finding reverse breakdown voltage.
- Identification of Diode. LED, Resistor. A capacitor from a mixed collection of such items.
CHEMISTRY UNIT
PHYSICAL CHEMISTRY UNIT I: SOME BASIC CONCEPTS IN CHEMISTRY
Matter and its nature, Dalton’s atomic theory: Concept of atom, molecule, element, and compound:: Laws of chemical combination; Atomic and molecular masses, mole concept, molar mass, percentage composition, empirical and molecular formulae: Chemical equations and stoichiometry.
UNIT 2: ATOMIC STRUCTURE
Nature of electromagnetic radiation, photoelectric effect; Spectrum of the hydrogen atom. Bohr model of a hydrogen atom – its postulates, derivation of the relations for the energy of the electron and radii of the different orbits, limitations of Bohr’s model; Dual nature of matter, de Broglie’s relationship. Heisenberg uncertainty principle. Elementary ideas of quantum mechanics, quantum mechanics, the quantum mechanical model of the atom, and its important features. Concept of atomic orbitals as one-electron wave functions: Variation of and 2 with r for 1s and 2s orbitals; various
quantum numbers (principal, angular momentum, and magnetic quantum numbers) and their significance; shapes of s, p, and d – orbitals, electron spin, and spin quantum number: Rules for filling electrons in orbitals – Aufbau principle. Pauli’s exclusion principle and Hund’s rule, electronic configuration of elements, and extra stability of half-filled and completely filled orbitals.
UNIT 3: CHEMICAL BONDING AND MOLECULAR STRUCTURE
Kossel-Lewis approach to chemical bond formation, the concept of ionic and covalent bonds.
Ionic Bonding: Formation of ionic bonds, factors affecting the formation of ionic bonds; calculation of lattice enthalpy.
Covalent Bonding: Concept of electronegativity. Fajan’s rule, dipole moment: Valence Shell Electron Pair Repulsion (VSEPR ) theory and shapes of simple molecules.
Quantum mechanical approach to covalent bonding:Valence bond theory – its important features, the concept of hybridization involving s, p, and d orbitals; Resonance.
Molecular Orbital Theory – Its important features. LCAOs, types of molecular orbitals (bonding, antibonding), sigma and pi-bonds, molecular orbital electronic configurations of homonuclear diatomic molecules, the concept of bond order, bond length, and bond energy.
Elementary idea of metallic bonding. Hydrogen bonding and its applications.
UNIT 4: CHEMICAL THERMODYNAMICS
Fundamentals of thermodynamics: System and surroundings, extensive and intensive properties, state functions, Entropy, types of processes.
The first law of thermodynamics – Concept of work, heat internal energy and enthalpy, heat capacity, molar heat capacity; Hess’s law of constant heat summation; Enthalpies of bond dissociation, combustion, formation, atomization, sublimation, phase transition, hydration, ionization, and solution.
The second law of thermodynamics – Spontaneity of processes; S of the universe and G of the system as criteria for spontaneity. G (Standard Gibbs energy change) and equilibrium constant.
UNIT 5: SOLUTIONS
Different methods for expressing the concentration of solution – molality, molarity, mole fraction, percentage (by volume and mass both), the vapour pressure of solutions and Raoult’s Law – Ideal and non-ideal solutions, vapour pressure – composition, plots for ideal and nonideal solutions; Colligative properties of dilute solutions – a relative lowering of vapour pressure, depression of freezing point, the elevation of boiling point and osmotic pressure; Determination of molecular mass using colligative properties; Abnormal value of molar mass, Van’t Hoff factor and its significance.
UNIT 6: EQUILIBRIUM
Meaning of equilibrium is the concept of dynamic equilibrium.
Equilibria involving physical processes: Solid-liquid, liquid-gas – gas and solid-gas equilibria, Henry’s law. General characteristics of equilibrium involving physical processes.
Equilibrium involving chemical processes: Law of chemical equilibrium, equilibrium constants (Kp and Kc) and their significance, the significance of G and G in chemical equilibrium, factors affecting equilibrium concentration, pressure, temperature, the effect of catalyst; Le Chatelier’s principle.
Ionic equilibrium: Weak and strong electrolytes, ionization of electrolytes, various concepts of acids and bases (Arrhenius. Bronsted – Lowry and Lewis) and their ionization, acid-base equilibria (including multistage ionization) and ionization constants, ionization of water. pH scale, common ion effect, hydrolysis of salts and pH of their solutions, the solubility of sparingly soluble salts and solubility products, and buffer solutions.
UNIT 7: REDOX REACTIONS AND ELECTROCHEMISTRY
Electronic concepts of oxidation and reduction, redox reactions, oxidation number, rules for assigning oxidation number, and balancing of redox reactions.
Electrolytic and metallic conduction, conductance in electrolytic solutions, molar conductivities and their variation with concentration: Kohlrausch’s law and its applications.
Electrochemical cells – Electrolytic and Galvanic cells, different types of electrodes, electrode potentials including standard electrode potential, half-cell and cell reactions, emf of a Galvanic cell and its measurement: Nernst equation and its applications; Relationship between cell potential and Gibbs’ energy change: Dry cell and lead accumulator; Fuel cells.
UNIT 8: CHEMICAL KINETICS
Rate of a chemical reaction, factors affecting the rate of reactions: concentration, temperature, pressure, and catalyst; elementary and complex reactions, order and molecularity of reactions, rate law, rate constant and its units, differential and integral forms of zero and first-order reactions, their characteristics and half-lives, the effect of temperature on the rate of reactions, Arrhenius theory, activation energy and its calculation, collision theory of bimolecular gaseous reactions (no derivation).
INORGANIC CHEMISTRY UNIT 9: CLASSIFICATION OF ELEMENTS AND PERIODICITY IN PROPERTIES
Modem periodic law and present form of the periodic table, s, p. d and f block elements, periodic trends in properties of elements atomic and ionic radii, ionization enthalpy, electron gain enthalpy, valence, oxidation states, and chemical reactivity.
UNIT 10: P- BLOCK ELEMENTS Group -13 to Group 18 Elements
General Introduction: Electronic configuration and general trends in physical and chemical properties of elements across the periods and down the groups; unique behaviour of the first element in each group.
UNIT 11: d – and f- BLOCK ELEMENTS
Transition Elements General introduction, electronic configuration, occurrence and characteristics, general trends in properties of the first-row transition elements – physical properties, ionization enthalpy, oxidation states, atomic radii, colour, catalytic behaviour, magnetic properties, complex formation, interstitial compounds, alloy formation; Preparation, properties, and uses of K2Cr2O7, and KMnO4.
Inner Transition Elements
Lanthanoids – Electronic configuration, oxidation states, and lanthanoid contraction.
Actinoids – Electronic configuration and oxidation states.
UNIT 12: CO-ORDINATION COMPOUNDS
Introduction to coordination compounds. Werner’s theory; ligands, coordination number, denticity. chelation; IUPAC nomenclature of mononuclear co-ordination compounds, isomerism; Bonding-Valence bond approach and basic ideas of Crystal field theory, colour and magnetic properties; Importance of co-ordination compounds (in qualitative analysis, extraction of metals, and in biological systems).
ORGANIC CHEMISTRY UNIT 13: PURIFICATION AND CHARACTERISATION OF ORGANIC COMPOUNDS
Purification – Crystallization, sublimation, distillation, differential extraction, and chromatography – principles and their applications.
Qualitative analysis – Detection of nitrogen, sulphur, phosphorus, and halogens.
Quantitative analysis (basic principles only) – Estimation of carbon, hydrogen, nitrogen, halogens, sulphur, and phosphorus.
Calculations of empirical formulae and molecular formulae: Numerical problems in organic quantitative analysis,
UNIT 14:SOME BASIC PRINCIPLES OF ORGANIC CHEMISTRY
Tetravalency of carbon: Shapes of simple molecules – hybridization (s and p): Classification of organic compounds based on functional groups: and those containing halogens, oxygen, nitrogen, and sulphur; Homologous series: Isomerism – structural and stereoisomerism.
Nomenclature (Trivial and IUPAC)
Covalent bond fission – Homolytic and heterolytic: free radicals, carbocations, and carbanions; stability of carbocations and free radicals, electrophiles, and nucleophiles.
Electronic displacement in a covalent bond
– Inductive effect, electromeric effect, resonance, and hyperconjugation.
Common types of organic reactions – Substitution, addition, elimination, and rearrangement.
UNITS 15: HYDROCARBONS
Classification, isomerism, IUPAC nomenclature, general methods of preparation, properties, and reactions.
Alkanes – Conformations: Sawhorse and Newman projections (of ethane): Mechanism of halogenation of alkanes.
Alkenes – Geometrical isomerism: Mechanism of electrophilic addition: addition of hydrogen, halogens, water, hydrogen halides (Markownikoffs and peroxide effect): Ozonolysis and polymerization.
Alkynes – Acidic character: Addition of hydrogen, halogens, water, and hydrogen halides: Polymerization.
Aromatic hydrocarbons – Nomenclature, benzene – structure and aromaticity: Mechanism of electrophilic substitution: halogenation, nitration.
Friedel-Craft’s alkylation and acylation, directive influence of the functional group in monosubstituted benzene.
UNIT 16: ORGANIC COMPOUNDS CONTAINING HALOGENS
General methods of preparation, properties, and reactions; Nature of C-X bond; Mechanisms of substitution reactions.
Uses; Environmental effects of chloroform, iodoform freons, and DDT.
UNIT 17: ORGANIC COMPOUNDS CONTAINING OXYGEN
General methods of preparation, properties, reactions, and uses.
ALCOHOLS, PHENOLS, AND ETHERS
Alcohols: Identification of primary, secondary, and tertiary alcohols: mechanism of dehydration.
Phenols: Acidic nature, electrophilic substitution reactions: halogenation. nitration and sulphonation. Reimer – Tiemann reaction.
Ethers: Structure.
Aldehyde and Ketones: Nature of carbonyl group; Nucleophilic addition to >C=O group, relative reactivities of aldehydes and ketones; Important reactions such as – Nucleophilic addition reactions (addition of HCN. NH3, and its derivatives), Grignard reagent; oxidation: reduction (Wolf Kishner and Clemmensen); the acidity of -hydrogen. aldol condensation, Cannizzaro reaction. Haloform reaction, Chemical tests to distinguish between aldehydes and Ketones.
Carboxylic Acids Acidic strength and factors affecting it, UNIT 18: ORGANIC COMPOUNDS CONTAINING NITROGEN
General methods of preparation. Properties, reactions, and uses.
Amines: Nomenclature, classification structure, basic character, and identification of primary, secondary, and tertiary amines and their basic character.
Diazonium Salts: Importance in synthetic organic chemistry.
UNIT 19: BIOMOLECULES
General introduction and importance of biomolecules.
CARBOHYDRATES – Classification; aldoses and ketoses: monosaccharides (glucose and fructose) and constituent monosaccharides of oligosaccharides (sucrose, lactose, and maltose).
PROTEINS – Elementary Idea of -amino acids, peptide bond, polypeptides. Proteins: primary, secondary, tertiary, and quaternary structure (qualitative idea only), denaturation of proteins, enzymes.
VITAMINS – Classification and functions.
NUCLEIC ACIDS – Chemical constitution of DNA and RNA.
ALCOHOLS, PHENOLS, AND ETHERS
Alcohols: Identification of primary, secondary, and tertiary alcohols: mechanism of dehydration.
Phenols: Acidic nature, electrophilic substitution reactions: halogenation. nitration and sulphonation. Reimer – Tiemann reaction.
Ethers: Structure.
Aldehyde and Ketones: Nature of carbonyl group; Nucleophilic addition to >C=O group, relative reactivities of aldehydes and ketones; Important reactions such as – Nucleophilic addition reactions (addition of HCN. NH3, and its derivatives), Grignard reagent; oxidation: reduction (Wolf Kishner and Clemmensen); the acidity of -hydrogen. aldol condensation, Cannizzaro reaction. Haloform reaction, Chemical tests to distinguish between aldehydes and Ketones.
Carboxylic Acids Acidic strength and factors affecting it, UNIT 18: ORGANIC COMPOUNDS CONTAINING NITROGEN
General methods of preparation. Properties, reactions, and uses.
Amines: Nomenclature, classification structure, basic character, and identification of primary, secondary, and tertiary amines and their basic character.
Diazonium Salts: Importance in synthetic organic chemistry.
UNIT 19: BIOMOLECULES
General introduction and importance of biomolecules.
CARBOHYDRATES – Classification; aldoses and ketoses: monosaccharides (glucose and fructose) and constituent monosaccharides of oligosaccharides (sucrose, lactose, and maltose).
PROTEINS – Elementary Idea of -amino acids, peptide bond, polypeptides. Proteins: primary, secondary, tertiary, and quaternary structure (qualitative idea only), denaturation of proteins, enzymes.
VITAMINS – Classification and functions.
NUCLEIC ACIDS – Chemical constitution of DNA and RNA.
Syllabus for JEE (Main) Paper 2A (B.Arch.) – Mathematics, Aptitude Test, and Drawing Test
Part – I MATHEMATICS UNIT
1: SETS, RELATIONS, AND FUNCTIONS:
Sets and their representation: Union, intersection, and complement of sets and their algebraic properties; Power set; Relation, Type of relations, equivalence relations, functions; one-one, into and onto functions, the composition of functions.
UNIT 2: COMPLEX NUMBERS AND QUADRATIC EQUATIONS:
Complex numbers as ordered pairs of reals, Representation of complex numbers in the form a + ib and their representation in a plane, Argand diagram, algebra of complex number, modulus, and argument (or amplitude) of a complex number, Quadratic equations in real and complex number system and their solutions Relations between roots and co-efficient, nature of roots, the formation of quadratic equations with given roots.
UNIT3: MATRICES AND DETERMINANTS:
Matrices, algebra of matrices, type of matrices, determinants, and matrices of order two and three, evaluation of determinants, area of triangles using determinants, Adjoint, and evaluation of inverse of a square matrix using determinants and, Test of consistency and solution of simultaneous linear equations in two or three variables using matrices.
UNIT 4: PERMUTATIONS AND COMBINATIONS:
The fundamental principle of counting, permutation as an arrangement and combination as section, Meaning of P (n,r) and C (n,r), simple applications.
UNIT 5: BINOMIAL THEOREM AND ITS SIMPLE APPLICATIONS:
Binomial theorem for a positive integral index, general term and middle term, and simple applications.
UNIT 6: SEQUENCE AND SERIES:
Arithmetic and Geometric progressions, insertion of arithmetic, geometric means between two given numbers, Relation between A.M and G.M.
UNIT 7: LIMIT, CONTINUITY, AND DIFFERENTIABILITY: Real–valued functions, algebra of functions, polynomials, rational, trigonometric, logarithmic, and exponential functions, inverse function. Graphs of simple functions. Limits, continuity, and
differentiability. Differentiation of the sum, difference, product, and quotient of two functions. Differentiation of trigonometric, inverse trigonometric, logarithmic, exponential, composite, and implicit functions; derivatives of order up to two, Applications of derivatives: Rate of change of quantities, monotonic-increasing and decreasing functions, Maxima and minima of functions of one variable,
UNIT 8: INTEGRAL CALCULAS:
Integral as an anti-derivative, Fundamental integral involving algebraic, trigonometric, exponential, and logarithms functions. Integrations by substitution, by parts, and by partial functions. Integration using trigonometric identities.
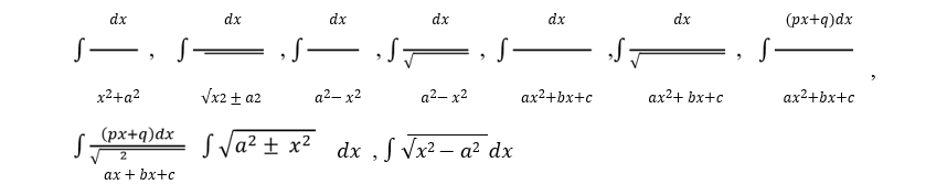
Evaluation of simple integrals of the type

. The fundamental theorem of calculus, properties of definite integrals. Evaluation of definite integrals, determining areas of the regions bounded by simple curves in standard form.
UNIT 9: DIFFRENTIAL EQUATIONS
Ordinary differential equations, their order, and degree, the, solution of differential equation by the method of separation of variables, solution of a homogeneous and linear differential equation of the type

UNIT 10: CO-ORDINATE GEOMETRY
Cartesian system of rectangular coordinates in a plane, distance formula, sections formula, locus, and its equation, the slope of a line, parallel and perpendicular lines, intercepts of a line on the coordinate axis.
Straight line
Various forms of equations of a line, intersection of lines, angles between two lines, conditions for concurrence of three lines, the distance of a point from a line, co-ordinate of the centroid, orthocentre, and circumcentre of a triangle,
Circle, conic sections
A standard form of equations of a circle, the general form of the equation of a circle, its radius and central, equation of a circle when the endpoints of a diameter are given, points of intersection of a line and a circle with the centre at the origin and sections of conics, equations of conic sections (parabola, ellipse, and hyperbola) in standard forms,
UNIT 11: THREE-DIMENSIONAL GEOMETRY
Coordinates of a point in space, the distance between two points, section formula, directions ratios, and direction cosines, and the angle between two intersecting lines. Skew lines, the shortest distance between them, and its equation. Equations of a line
UNIT 12: VECTOR ALGEBRA
Vectors and scalars, the addition of vectors, components of a vector in two dimensions and threedimensional space, scalar and vector products,
UNIT 13: STATISTICS AND PROBABILITY
Measures of discretion; calculation of mean, median, mode of grouped and ungrouped data calculation of standard deviation, variance, and mean deviation for grouped and ungrouped data.
Probability: Probability of an event, addition and multiplication theorems of probability, Baye’s theorem, probability distribution of a random variate,
UNIT 14: TRIGONOMETRY
Trigonometrical identities and trigonometrical functions, inverse trigonometrical functions, and their properties,
Part –II APTITUDE TEST
UNIT – 1 Awareness of persons. Buildings, Materials.
Objects, Texture related to Architecture and Build-environment, Visualizing threedimensional objects from two-dimensional drawings. Visualizing. Different sides of threedimensional objects. Analytical Reasoning Mental Ability (Visual. Numerical and Verbal)
UNIT – 2 Three dimensional- perception: Understanding and appreciation of scale and proportions of objects, building forms and elements, colour texture harmony and contrast Design and drawing of geometrical or abstract shapes and patterns in pencil. Transformation of forms both 2D and 3D union, subtraction rotation, development of surfaces and volumes, Generation of plans, elevations, and 3D views of objects, creating two-dimensional and three-dimensional compositions using given shapes and forms.
Part – III DRAWING TEST
Sketching of scenes and activities from memory of urbanscape (public space, market, festivals, street scenes, monuments, recreational spaces, etc.). landscape (riverfronts. Jungle. Gardens, trees. Plants, etc.) and rural life.
To be conducted in a Drawing sheet.
Note: Candidates are advised to bring pencils. Own geometry box set, crasets and colour pencils, and crayons for the Drawing Test
Syllabus for JEE (Main) Paper 2B (B.Planning.) – Mathematics, Aptitude Test, and Planning
Part – I MATHEMATICS
UNIT 1: SETS, RELATIONS, AND FUNCTIONS:
Sets and their representation: Union, intersection, and complement of sets and their algebraic properties; Power set; Relation, Type of relations, equivalence relations, functions; one-one, into and onto functions, the composition of functions.
UNIT 2: COMPLEX NUMBERS AND QUADRATIC EQUATIONS: Complex numbers as ordered pairs of reals, Representation of complex numbers in the form a + ib and their representation in a plane, Argand diagram, algebra of complex number, modulus, and argument (or amplitude) of a complex number, Quadratic equations in real and complex number system and their solutions Relations between roots and co-efficient, nature of roots, the formation of quadratic equations with given roots.
UNIT3: MATRICES AND DETERMINANTS:
Matrices, algebra of matrices, type of matrices, determinants, and matrices of order two and three, evaluation of determinants, area of triangles using determinants, Adjoint, and evaluation of inverse of a square matrix using determinants and, Test of consistency and solution of simultaneous linear equations in two or three variables using matrices.
UNIT 4: PERMUTATIONS AND COMBINATIONS:
The fundamental principle of counting, permutation as an arrangement and combination as section, Meaning of P (n,r) and C (n,r), simple applications.
UNIT 5: BINOMIAL THEOREM AND ITS SIMPLE APPLICATIONS:
Binomial theorem for a positive integral index, general term and middle term, and simple applications.
UNIT 6: SEQUENCE AND SERIES:
Arithmetic and Geometric progressions, insertion of arithmetic, geometric means between two given numbers, Relation between A.M and G.M.
UNIT 7: LIMIT, CONTINUITY, AND DIFFERENTIABILITY:
Real–valued functions, algebra of functions, polynomials, rational, trigonometric, logarithmic, exponential functions, inverse function. Graphs of simple functions. Limits, continuity, and differentiability. Differentiation of the sum, difference, product, and quotient of two functions. Differentiation of trigonometric, inverse trigonometric, logarithmic, exponential, composite, and implicit functions; derivatives of order up to two, Applications of derivatives: Rate of change of quantities, monotonic-increasing and decreasing functions, Maxima and minima of functions of one variable,
UNIT 8: INTEGRAL CALCULAS:
Integral as an anti-derivative, Fundamental integral involving algebraic, trigonometric, exponential, and logarithmic functions. Integrations by substitution, by parts, and by partial functions. Integration using trigonometric identities.
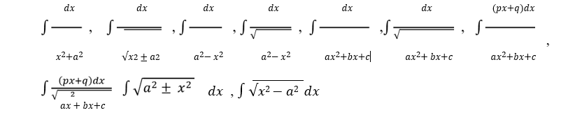
Evaluation of simple integrals of the type

The fundamental theorem of calculus, properties of definite integrals. Evaluation of definite integrals, determining areas of the regions bounded by simple curves in standard form.
UNIT 9: DIFFRENTIAL EQUATIONS
Ordinary differential equations, their order, and degree, the solution of differential equation by the method of separation of variables, solution of a homogeneous and linear differential equation of the type

UNIT 10: CO-ORDINATE GEOMETRY
Cartesian system of rectangular coordinates in a plane, distance formula, sections formula, locus, and its equation, the slope of a line, parallel and perpendicular lines, intercepts of a line on the coordinate axis.
Straight line
Various forms of equations of a line, intersection of lines, angles between two lines, conditions for concurrence of three lines, the distance of a point form a line, co-ordinate of the centroid, orthocentre, and circumcentre of a triangle,
Circle, conic sections
A standard form of equations of a circle, the general form of the equation of a circle, its radius and central, equation of a circle when the endpoints of a diameter are given, points of intersection of a line and a circle with the centre at the origin and sections of conics, equations of conic sections (parabola, ellipse, and hyperbola) in standard forms,
UNIT 11: THREE-DIMENSIONAL GEOMETRY
Coordinates of a point in space, the distance between two points, section formula, directions ratios, and direction cosines, the angle between two intersecting lines. Skew lines, the shortest distance between them, and its equation. Equations of a line
UNIT 12: VECTOR ALGEBRA
Vectors and scalars, the addition of vectors, components of a vector in two dimensions and threedimensional space, scalar and vector products,
UNIT 13: STATISTICS AND PROBABILITY
Measures of discretion; calculation of mean, median, mode of grouped and ungrouped data calculation of standard deviation, variance, and mean deviation for grouped and ungrouped data.
Probability: Probability of an event, addition and multiplication theorems of probability, Baye’s theorem, probability distribution of a random variate,
UNIT 14: TRIGONOMETRY
Trigonometrical identities and trigonometrical functions, inverse trigonometrical functions, and their properties,
Part –II APTITUDE TEST
UNIT – 1 Awareness of persons. Buildings, Materials, Objects, and Textures related to Architecture and Build-environment, Visualizing three-dimensional objects from two dimensional drawings. Visualizing. Different sides of three-dimensional objects. Analytical Reasoning Mental Ability (Visual. Numerical and Verbal)
UNIT – 2 Three dimensional- perception: Understanding and appreciation of scale and proportions of objects, building forms and elements, colour texture harmony and contrast Design and drawing of geometrical or abstract shapes and patterns in pencil. Transformation of forms both 2D and 3D union, subtraction rotation, development of surfaces and volumes, Generation of plans, elevations, and 3D views of objects, creating two-dimensional and three-dimensional compositions using given shapes and forms.
Part – III PLANNING
UNIT-1 GENERAL AWARENESS
General knowledge questions and knowledge about prominent cities, development issues, government programs, etc.
UNIT-2 SOCIAL SCIENCES
The idea of nationalism, nationalism in India, pre-modern world, 19th-century global economy, colonialism, and colonial cities, industrialization, resources, and development, types of resources, agriculture, water, mineral resources, industries, national economy; Human Settlements
Power-sharing, federalism, political parties, democracy, the constitution of India
Economic development- economic sectors, globalization, the concept of development, poverty; Population structure, social exclusion, and inequality, urbanization, rural development, colonial cities,
UNIT-3 THINKING SKILLS
Comprehension (unseen passage); map reading skills, scale, distance, direction, area, etc.; critical reasoning; understanding of charts, graphs, and tables; basic concepts of statistics and quantitative reasoning.

